9. Sınıf Matematik 1. Ders Kitabı Sayfa 36 Cevapları Meb Yayınları
9. Sınıf Matematik Sayfa 36 Alıştırmalar Cevapları
1- Pekin’in yüz ölçümünün Tokyo’nun yüz ölçümünden kaç m² fazla olduğunu bulunuz.
- Tokyo’nun yüz ölçümü: 2,2 x 10² km²
- Pekin’in yüz ölçümü: 1,6 x 10³ km²
Farkı hesaplayalım: 1,6 x 10³ - 2,2 x 10² = 1,38 x 10³ km²
Bu farkı metrekareye çevirirsek: 1,38 x 10³ x 10⁶ = 1,38 x 10⁹ m²
Cevap: Pekin’in yüz ölçümü Tokyo’dan 1,38 x 10⁹ m² fazladır.
2- Bir bölgenin nüfus yoğunluğu kilometrekareye düşen insan sayısı ile belirlenir. Buna göre:
a) Tabloda verilen şehirlerin nüfus yoğunluklarını nasıl belirleyebileceğinize dair öneri oluşturunuz.
Nüfus yoğunluğu = Nüfus / Yüz ölçümü Bu formüle göre her şehrin nüfus yoğunluğunu hesaplayabiliriz.
b) Tokyo, Delhi ve Pekin’in nüfus yoğunluklarını hesaplayınız.
- Tokyo’nun nüfus yoğunluğu = 3,74 x 10⁷ / 2,2 x 10² = 1,7 x 10⁵ kişi/km²
- Delhi’nin nüfus yoğunluğu = 3,14 x 10⁷ / 1,5 x 10² = 2,09 x 10⁵ kişi/km²
- Pekin’in nüfus yoğunluğu = 2,15 x 10⁷ / 1,6 x 10³ = 1,34 x 10⁴ kişi/km²
Cevap:
- Tokyo: 1,7 x 10⁵ kişi/km²
- Delhi: 2,09 x 10⁵ kişi/km²
- Pekin: 1,34 x 10⁴ kişi/km²
c) Tokyo, Delhi ve Pekin’in nüfus yoğunluklarını sırayla a, b ve c olmak üzere a, b ve c değerlerini küçüklükten büyüğe sıralayınız.
Sıralama:
- Pekin: 1,34 x 10⁴ kişi/km² (a)
- Tokyo: 1,7 x 10⁵ kişi/km² (b)
- Delhi: 2,09 x 10⁵ kişi/km² (c)
Cevap: Pekin (a), Tokyo (b), Delhi (c)
3- (2⁸ᵃ + 2⁸ᵃ⁻¹) / (4ᵃ⁺¹ - 2⁸ᵃ⁺³) ifadesinin eşitliğini bulunuz.

4- (1 + √(16 + 625))1/3 işleminin sonucunu bulunuz.

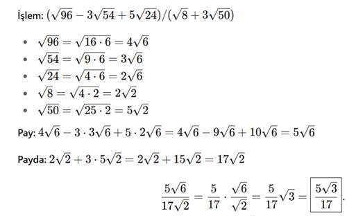
5- (√96 - 3√54 + 5√24) / (√8 + 3√50) işleminin sonucunu bulunuz.

6. (20 + √7 + 18/5 + √7) / (7/5 + √7/5) işleminin sonucunu bulunuz.

Türkçe karakter kullanılmayan ve büyük harflerle yazılmış yorumlar onaylanmamaktadır.